Juvenile hormone acid O-methyltransferase
Identifiers
EC no.2.1.1.325
Databases
IntEnzIntEnz view
BRENDABRENDA entry
ExPASyNiceZyme view
KEGGKEGG entry
MetaCycmetabolic pathway
PRIAMprofile
PDB structuresRCSB PDB PDBe PDBsum
Search
PMCarticles
PubMedarticles
NCBIproteins

Juvenile hormone acid O-methyltransferase (JHAMT) is a ~33 kDa enzyme[1] (the molecular mass is species-dependent) that catalyzes the conversion of inactive precursors of Juvenile hormones (JHs) to active JHs in the final stages of JH biosynthesis in the corpora allata of insects.[2] More specifically, the enzyme catalyzes the transfer of a methyl group from S-adenosyl-L-methionine (SAM) to the carboxylate group of JH precursors.[3]

Structure

The reaction catalyzed by JHAMT is a canonical SN2-like mechanism in which a methyl group is transferred from S-adenosyl-L-methionine (2) to farnesoate (1), generating methyl farneosate (3) and S-adenosyl-L-homocysteine (4).

While the crystal structure of JHAMT enzymes have not been solved, homology modeling and docking simulations with Aedes aegypti JHAMT (AaJHAMT) have revealed that enzyme interactions with SAM are very similar to other known SAM-dependentmethyltransferase (SAM-MT) complexes.[4] Further analysis of the predicted secondary structure of AaJHAMT shows a typical SAM-MT fold, with 6-stranded β-sheet with 9 ⍺-helices.[5] These docking studies show that the Asp-69 residue forms hydrogen bonds with two ribose hydroxyl groups of SAM; Asp-49 also forms a hydrogen bond through water with the NH3+ moiety of SAM.[5] Val-70 and Ile-95 form a hydrophobic pocket, which houses the adenine ring of SAM.[5] Two additional residues, Gln-14 and Trp-120, hydrogen bond with the carboxyl group of either farnesoic acid (FA) or juvenile hormone acid III (JHA III) to structurally orient the molecule for catalysis.[5] Ile-151, Ile-154, Tyr 155, Leu-158, Val-221 and Val-224 create the hydrophobic pocket for the carbon tail of JHA III and FA.[5]

Generated structures of JHMAT derived from D. melanogaster, B. mori, T. castaneum, and A. gambiae identified Asp-41, Asp-69, Gln-14, Trp-120 and Ser-176 as the critical conserved residues for SAM and substrate recognition.[5]

Catalytic role

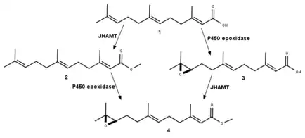
The biosynthesis of juvenile hormone III is dependent on insect taxonomy. In Lepidoptera, an epoxidation step occurs before the methylation step; in Orthoptera, Dictyoptera, Coleoptera, and Diptera methylation occurs first.

The enzyme catalyzes a putative SN2 reaction, coordinating either FA or JHA III for facile backside nucleophilic attack on the methyl group of SAM.[6] This reaction results in the formation of S-Adenosyl homocysteine (SAH) and the corresponding methyl ester. Depending on the insect's taxonomy, JHMAT is either the last or second to last step in JH III synthesis. Insects in Orthoptera, Dictyoptera, Coleoptera, and Diptera first methylate farnesoic acid to methyl farneosate with JHAMT, followed by epoxidation mediated by P450 epoxidase to yield JH III. Insects of order Lepidoptera first perform an epoxidation by P450 epoxidase to convert farnesoic acid to JHA III, followed by JHAMT-dependent methylation to produce juvenile hormone III.[5] The enzyme displays a higher affinity to JHA III compared to FA,[7] although other enzymes do exhibit the opposite substrate affinity pattern.[8]

Interestingly, JHAMT In Drosophila melanogaster (DmJHMAT) has been shown to have broad specificity for medium chain free fatty acids when the enzyme is recombinantly expressed in E. coli, converting them into fatty acid methyl esters (FAMEs).[9] More specifically, DmJHAMT is active on fatty acids ranging in size from C12 to C16, exhibiting highest activity for lauric acid, a C12 fatty acid.[9] As FAMEs are considered a component of biodiesel, this raises the possibility of manipulating DmJHAMT for biofuel synthesis.[10] It is important to note that DmJHAMT shows no catalytic activity with respect to shorter chain C8 and C10 fatty acids.[9]

Biological Function

Insect metamorphosis is a tightly regulated process that involves JHs and JHAMT. The function of JH in immature insects is to maintain the insect's nymph or larval state by preventing the expression of certain genes that activate insect maturation pathways.[11] Once insects have reached their species-specific size, the corpora allata atrophies[11] and JH production halts due to decreased JHAMT activity, lowering JH concentrations to allow metamorphosis to proceed.[12] In the pupal stage of D. melanogaster and B. mori, a decrease in JH concentration correlates with decreased levels of JHAMT mRNA.[13][14] Furthermore, JHAMT gene suppression is thought to be critical in larval-pupal metamorphosis in Tribolium castaneum.[15]

In D. melanogaster, DmJHMAT is encoded by the CG17330/DmJHAMT gene, and is very specifically expressed in the corpus allatum.[13] Experiments have shown that an overexpression of CG17330/DmJHAMT leads to pupal lethality and a misorientation of male genitalia in D. melanogaster, suggesting that proper temporal regulation of this gene is critical for Drosophila development.[13]

Apis mellifera are also known to encode a similar JHAMT protein (AmJHAMT).[16] The cDNA was found to be 1253bp long, and encodes a 278-aa protein that shares 32-36% identity with other known JHAMTs. During periods of caste development, queen larvae contained significantly higher levels of AmJHAMT mRNA and protein than worker larvae, suggesting that the protein has a significant role in honey bee caste differentiation.[16]

References

  1. Jiang M, Lü S, Zhang Y (May 2017). "Characterization of Juvenile Hormone Related Genes Regulating Cantharidin Biosynthesis in Epicauta chinensis". Scientific Reports. 7 (1): 2308. Bibcode:2017NatSR...7.2308J. doi:10.1038/s41598-017-02393-w. PMC 5442126. PMID 28536442.
  2. Shinoda T, Itoyama K (October 2003). "Juvenile hormone acid methyltransferase: a key regulatory enzyme for insect metamorphosis". Proceedings of the National Academy of Sciences of the United States of America. 100 (21): 11986–91. Bibcode:2003PNAS..10011986S. doi:10.1073/pnas.2134232100. PMC 218700. PMID 14530389.
  3. Li W, Huang ZY, Liu F, Li Z, Yan L, Zhang S, et al. (2013-07-09). "Molecular cloning and characterization of juvenile hormone acid methyltransferase in the honey bee, Apis mellifera, and its differential expression during caste differentiation". PLOS ONE. 8 (7): e68544. Bibcode:2013PLoSO...868544L. doi:10.1371/journal.pone.0068544. PMC 3706623. PMID 23874662.
  4. Mayoral JG, Nouzova M, Yoshiyama M, Shinoda T, Hernandez-Martinez S, Dolghih E, et al. (January 2009). "Molecular and functional characterization of a juvenile hormone acid methyltransferase expressed in the corpora allata of mosquitoes". Insect Biochemistry and Molecular Biology. 39 (1): 31–7. doi:10.1016/j.ibmb.2008.09.010. PMC 2727726. PMID 18984053.
  5. 1 2 3 4 5 6 7 Defelipe LA, Dolghih E, Roitberg AE, Nouzova M, Mayoral JG, Noriega FG, Turjanski AG (April 2011). "Juvenile hormone synthesis: "esterify then epoxidize" or "epoxidize then esterify"? Insights from the structural characterization of juvenile hormone acid methyltransferase". Insect Biochemistry and Molecular Biology. 41 (4): 228–35. doi:10.1016/j.ibmb.2010.12.008. PMC 3057355. PMID 21195763.
  6. O'Hagan D, Schmidberger JW (June 2010). "Enzymes that catalyse SN2 reaction mechanisms". Natural Product Reports. 27 (6): 900–18. doi:10.1039/B919371P. PMID 20372740.
  7. Van Ekert E, Heylen K, Rougé P, Powell CA, Shatters RG, Smagghe G, Borovsky D (May 2014). "Aedes aegypti juvenile hormone acid methyl transferase, the ultimate enzyme in the biosynthetic pathway of juvenile hormone III, exhibits substrate control". Journal of Insect Physiology. 64: 62–73. doi:10.1016/j.jinsphys.2014.03.001. PMID 24657668.
  8. Van Ekert E, Shatters RG, Rougé P, Powell CA, Smagghe G, Borovsky D (2015). "Cloning and expressing a highly functional and substrate specific farnesoic acid o-methyltransferase from the Asian citrus psyllid (Diaphorina citri Kuwayama)". FEBS Open Bio. 5 (1): 264–75. doi:10.1016/j.fob.2015.03.012. PMC 4398755. PMID 25893162.
  9. 1 2 3 Sherkhanov S, Korman TP, Clarke SG, Bowie JU (April 2016). "Production of FAME biodiesel in E. coli by direct methylation with an insect enzyme". Scientific Reports. 6 (1): 24239. Bibcode:2016NatSR...624239S. doi:10.1038/srep24239. PMC 4823748. PMID 27053100.
  10. Yunus IS, Palma A, Trudeau DL, Tawfik DS, Jones PR (January 2020). "Methanol-free biosynthesis of fatty acid methyl ester (FAME) in Synechocystis sp. PCC 6803". Metabolic Engineering. 57: 217–227. doi:10.1016/j.ymben.2019.12.001. PMID 31821864. S2CID 209317175.
  11. 1 2 Subramanian S, Shankarganesh K (2016-01-01). "Chapter 20 - Insect Hormones (as Pesticides)". In Omkar (ed.). Ecofriendly Pest Management for Food Security. San Diego: Academic Press. pp. 613–650. doi:10.1016/B978-0-12-803265-7.00020-8. ISBN 978-0-12-803265-7.
  12. Riddiford LM (June 2008). "Juvenile hormone action: a 2007 perspective". Journal of Insect Physiology. 54 (6): 895–901. doi:10.1016/j.jinsphys.2008.01.014. PMID 18355835.
  13. 1 2 3 Niwa R, Niimi T, Honda N, Yoshiyama M, Itoyama K, Kataoka H, Shinoda T (July 2008). "Juvenile hormone acid O-methyltransferase in Drosophila melanogaster" (PDF). Insect Biochemistry and Molecular Biology. 38 (7): 714–20. doi:10.1016/j.ibmb.2008.04.003. hdl:2241/100120. PMID 18549957.
  14. Kinjoh T, Kaneko Y, Itoyama K, Mita K, Hiruma K, Shinoda T (August 2007). "Control of juvenile hormone biosynthesis in Bombyx mori: cloning of the enzymes in the mevalonate pathway and assessment of their developmental expression in the corpora allata". Insect Biochemistry and Molecular Biology. 37 (8): 808–18. doi:10.1016/j.ibmb.2007.03.008. PMID 17628279.
  15. Minakuchi C, Namiki T, Yoshiyama M, Shinoda T (June 2008). "RNAi-mediated knockdown of juvenile hormone acid O-methyltransferase gene causes precocious metamorphosis in the red flour beetle Tribolium castaneum". The FEBS Journal. 275 (11): 2919–31. doi:10.1111/j.1742-4658.2008.06428.x. PMID 18435763. S2CID 2614078.
  16. 1 2 Li W, Huang ZY, Liu F, Li Z, Yan L, Zhang S, et al. (2013). "Molecular cloning and characterization of juvenile hormone acid methyltransferase in the honey bee, Apis mellifera, and its differential expression during caste differentiation". PLOS ONE. 8 (7): e68544. Bibcode:2013PLoSO...868544L. doi:10.1371/journal.pone.0068544. PMC 3706623. PMID 23874662.
This article is issued from Wikipedia. The text is licensed under Creative Commons - Attribution - Sharealike. Additional terms may apply for the media files.