Chavicol
Skeletal formula of chavicol
Ball-and-stick model of the chavicol molecule
Names
Preferred IUPAC name
4-(Prop-2-en-1-yl)phenol
Other names
4-Allylphenol; p-Allylphenol; para-Allylphenol
Identifiers
3D model (JSmol)
ChEBI
ChEMBL
ChemSpider
ECHA InfoCard 100.007.209
EC Number
  • 207-929-2
KEGG
UNII
  • InChI=1S/C9H10O/c1-2-3-8-4-6-9(10)7-5-8/h2,4-7,10H,1,3H2 checkY
    Key: RGIBXDHONMXTLI-UHFFFAOYSA-N checkY
  • InChI=1/C9H10O/c1-2-3-8-4-6-9(10)7-5-8/h2,4-7,10H,1,3H2
    Key: RGIBXDHONMXTLI-UHFFFAOYAI
  • C=CCC1=CC=C(C=C1)O
Properties
C9H10O
Molar mass 134.18 g/mol
Density 1.020 g/cm3
Melting point 16 °C (61 °F; 289 K)
Boiling point 238 °C (460 °F; 511 K) (123 °C at 16 mmHg)
2.46 g/L
Except where otherwise noted, data are given for materials in their standard state (at 25 °C [77 °F], 100 kPa).
☒N verify (what is checkY☒N ?)
Infobox references

Chavicol (p-allylphenol) is a natural phenylpropene, a type of organic compound.[1] Its chemical structure consists of a benzene ring substituted with a hydroxy group and a propenyl group. It is a colorless liquid found together with terpenes in betel oil.

Properties and reactions

Chavicol is miscible with alcohol, ether, and chloroform. Dimerization of chavicol gives the neo-lignan magnolol.

Uses

Chavicol is used as an odorant in perfumery and as a flavor. It is found in many essential oils, including anise and gardenia.[2]

Biosynthesis

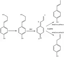
Chavicol is formed in sweet basil (Ocimum Basilicum) by the phenylpropanoid pathway via p-coumaryl alcohol. The allylic alcohol in p-coumaryl alcohol is converted into a leaving group. This then leaves thus forming a cation, this cation can be regarded as a quinone methide which then is reduced by NADPH to form either anol or chavicol.[3]

Biosynthesis of para anol and para chavicol

See also

References

  1. Lide, D. R., ed. (2005). CRC Handbook of Chemistry and Physics (86th ed.). Boca Raton (FL): CRC Press. ISBN 0-8493-0486-5.
  2. "Chavicol, 501-92-8".
  3. Daniel G. Vassao, David R. Gang, Takao Koeduka, Brenda Jackson, Eran Pichersky, Laurence B. Davina and Norman G. Lewis, Organic and Biomolecular Chemistry, 2006, 4, 2733-2744. DOI: 10.1039/b605407b


This article is issued from Wikipedia. The text is licensed under Creative Commons - Attribution - Sharealike. Additional terms may apply for the media files.