Phosphonopyruvate decarboxylase
A reaction using Ppd as a catalyst
Identifiers
EC no.4.1.1.82
Databases
IntEnzIntEnz view
BRENDABRENDA entry
ExPASyNiceZyme view
KEGGKEGG entry
MetaCycmetabolic pathway
PRIAMprofile
PDB structuresRCSB PDB PDBe PDBsum
Search
PMCarticles
PubMedarticles
NCBIproteins

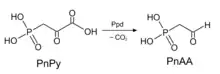
The enzyme phosphonopyruvate decarboxylase (EC 4.1.1.82) catalyzes the chemical reaction

3-phosphonopyruvate 2-phosphonoacetaldehyde + CO2

This enzyme belongs to the family of lyases, specifically the carboxy-lyases, which cleave carbon-carbon bonds. The systematic name of this enzyme class is 3-phosphonopyruvate carboxy-lyase (2-phosphonoacetaldehyde-forming). This enzyme is also called 3-phosphonopyruvate carboxy-lyase. This enzyme participates in aminophosphonate metabolism.

References

    • Zhang G, Dai J, Lu Z, Dunaway-Mariano D (2003). "The phosphonopyruvate decarboxylase from Bacteroides fragilis". J. Biol. Chem. 278 (42): 41302–8. doi:10.1074/jbc.M305976200. PMID 12904299.
    • Seidel HM, Knowles JR (1994). "Interaction of inhibitors with phosphoenolpyruvate mutase: implications for the reaction mechanism and the nature of the active site". Biochemistry. 33 (18): 5641–6. doi:10.1021/bi00184a037. PMID 8180189.
    • Nakashita H, Watanabe K, Hara O, Hidaka T, Seto H (March 1997). "Studies on the biosynthesis of bialaphos. Biochemical mechanism of C-P bond formation: discovery of phosphonopyruvate decarboxylase which catalyzes the formation of phosphonoacetaldehyde from phosphonopyruvate". J. Antibiot. Tokyo. 50 (3): 212–9. doi:10.7164/antibiotics.50.212. PMID 9127192.


    This article is issued from Wikipedia. The text is licensed under Creative Commons - Attribution - Sharealike. Additional terms may apply for the media files.