Jimscaline
Clinical data
Routes of
administration
Oral
ATC code
  • none
Legal status
Legal status
  • In general: uncontrolled
Identifiers
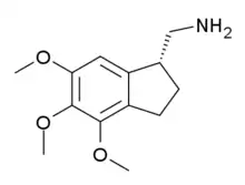
  • (R)-(2,3-dihydro-4,5,6-trimethoxy-1H-inden-1-yl)aminomethane
CAS Number
PubChem CID
ChemSpider
CompTox Dashboard (EPA)
Chemical and physical data
FormulaC13H19NO3
Molar mass237.299 g·mol−1
3D model (JSmol)
  • COC1=C(C(=C2CC[C@H](C2=C1)CN)OC)OC
  • InChI=1S/C13H19NO3/c1-15-11-6-10-8(7-14)4-5-9(10)12(16-2)13(11)17-3/h6,8H,4-5,7,14H2,1-3H3/t8-/m0/s1 ☒N
  • Key:AFTIZGHFDCOQFS-QMMMGPOBSA-N ☒N
 ☒NcheckY (what is this?)  (verify)

Jimscaline (C-(4,5,6-trimethoxyindan-1-yl)methanamine) is a conformationally-restricted derivative of the cactus-derived hallucinogen mescaline, which was discovered in 2006 by a team at Purdue University led by David E. Nichols. It acts as a potent agonist for the 5-HT2A and 5-HT2C receptors with the more active (R)-enantiomer having a Ki of 69 nM at the human 5-HT2A receptor, and around three times the potency of mescaline in drug-substitution experiments in animals.[1] This discovery that the side chain of the phenethylamine hallucinogens could be constrained to give chiral ligands with increased activity then led to the later development of the super-potent benzocyclobutene derivative TCB-2.[2][3]

See also

References

  1. McLean TH, Chambers JJ, Parrish JC, Braden MR, Marona-Lewicka D, Kurrasch-Orbaugh D, Nichols DE (July 2006). "C-(4,5,6-trimethoxyindan-1-yl)methanamine: a mescaline analogue designed using a homology model of the 5-HT2A receptor". Journal of Medicinal Chemistry. 49 (14): 4269–74. CiteSeerX 10.1.1.690.1860. doi:10.1021/jm060272y. PMID 16821786.
  2. McLean TH, Parrish JC, Braden MR, Marona-Lewicka D, Gallardo-Godoy A, Nichols DE (September 2006). "1-Aminomethylbenzocycloalkanes: conformationally restricted hallucinogenic phenethylamine analogues as functionally selective 5-HT2A receptor agonists". Journal of Medicinal Chemistry. 49 (19): 5794–803. CiteSeerX 10.1.1.688.9849. doi:10.1021/jm060656o. PMID 16970404.
  3. Braden MR (2007). Towards a biophysical understanding of hallucinogen action (Ph.D. thesis). Purdue University. ProQuest 304838368.
This article is issued from Wikipedia. The text is licensed under Creative Commons - Attribution - Sharealike. Additional terms may apply for the media files.