![]() | |
| Names | |
|---|---|
| Preferred IUPAC name
4-[4-Chloro-5-(3-fluoro-4-methoxyphenyl)-1H-imidazol-1-yl]benzene-1-sulfonamide | |
| Identifiers | |
3D model (JSmol) |
|
| ChEBI | |
| ChEMBL | |
| ChemSpider | |
| ECHA InfoCard | 100.170.774 |
PubChem CID |
|
| UNII | |
CompTox Dashboard (EPA) |
|
| |
| |
| Properties | |
| C16H13ClFN3O3S | |
| Molar mass | 381.81 g·mol−1 |
| Pharmacology | |
| QM01AH93 (WHO) | |
Except where otherwise noted, data are given for materials in their standard state (at 25 °C [77 °F], 100 kPa).
Infobox references | |
Cimicoxib (UR-8880 trade name Cimalgex) is a nonsteroidal anti-inflammatory drug (NSAID) used in veterinary medicine to treat dogs for pain and inflammation associated with osteoarthritis and for the management of pain and inflammation associated with surgery.[1] It acts as a COX-2 inhibitor.
Synthesis

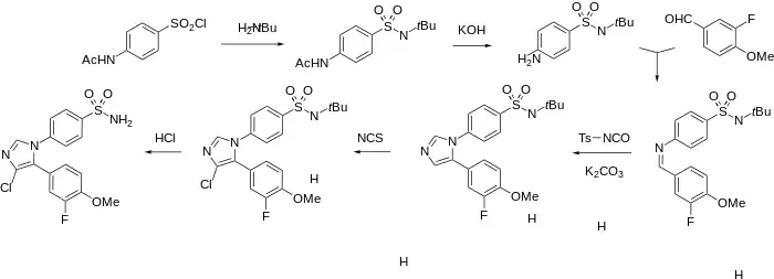
Cimicoxib synthesis:[2]
Reaction of the imine with TosMIC in the presence of potassium carbonate leads to what may be viewed as 2+3 cycloaddition of the nitrogen analogue of a ketene to form the imidazole ring.
References
- ↑ "European Public Assessment Report: Cimalgex (cimicoxib)". European Medicines Agency. 17 September 2018.
- ↑ Almansa, Carmen; Alfón, José; de Arriba, Alberto F.; Cavalcanti, Fernando L.; Escamilla, Ignasi; Gómez, Luis A.; Miralles, Agustí; Soliva, Robert; Bartrolí, Javier; Carceller, Elena; Merlos, Manuel; García-Rafanell, Julián (2003). "Synthesis and Structure−Activity Relationship of a New Series of COX-2 Selective Inhibitors: 1,5-Diarylimidazoles". Journal of Medicinal Chemistry. 46 (16): 3463–3475. doi:10.1021/jm030765s. ISSN 0022-2623. PMID 12877584.
This article is issued from Wikipedia. The text is licensed under Creative Commons - Attribution - Sharealike. Additional terms may apply for the media files.
